Номер 392 - ГДЗ Алгебра 7 класс. Мерзляк, Полонский. Учебник. Страница 76

Вернуться к содержанию учебника

Страница 76

389 390 391 392 393 394 395

Вопрос

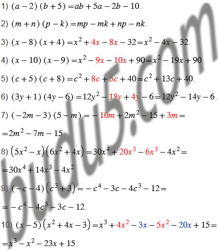
Выполните умножение:

Подсказка

Вспомните:

  1. Что называют многочленом.
  2. Что называют одночленом.
  3. Как умножить многочлен на многочлен.
  4. Как умножить одночлен на одночлен.
  5. Как умножить одночлен на многочлен.
  6. Подобные слагаемые, приведение подобных слагаемых.
  7. Правила сложения рациональных чисел.
  8. Правила вычитания рациональных чисел.
  9. Правила умножения рациональных чисел.
  10. Модуль числа.
  11. Противоположные числа.
  12. Степень с натуральным показателем.
  13. Свойства степени с натуральным показателем.

Ответ


Вернуться к содержанию учебника