Вернуться к содержанию учебника
Выберите год учебника
№2.263 учебника 2023-2024 (стр. 81):
Вычислите:

№2.263 учебника 2021-2022 (стр. 76):
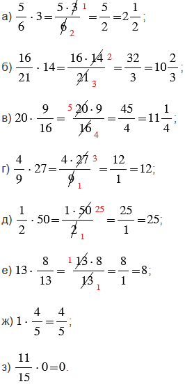
Найдите произведение:

№2.263 учебника 2023-2024 (стр. 81):
Вспомните:
№2.263 учебника 2021-2022 (стр. 76):
Вспомните:
№2.263 учебника 2023-2024 (стр. 81):

Пояснения:
Чтобы умножить обыкновенную дробь на натуральное число, нужно ее числитель умножить на это число, а знаменатель оставить без изменения.
Чтобы вычисления были проще, не надо перемножать сразу, лучше сделать это после сокращения.
Сократить дробь - значит, разделить ее числитель и знаменатель на одно и то же число (наибольший общий делитель).
Если при вычислениях получается неправильная дробь (числитель больше знаменателя), то ее преобразуем в смешанное число. Чтобы неправильную дробь, числитель которой нацело не делится на знаменатель, преобразовать в смешанное число, надо числитель разделить на знаменатель; полученное неполное частное записать как целую часть смешанного числа, а остаток - как числитель его дробной части.
Если числитель неправильной дроби делится нацело на ее знаменатель, то в результате вычислений получится натуральное число.
№2.263 учебника 2021-2022 (стр. 76):

Пояснения:
Чтобы умножить обыкновенную дробь на натуральное число, нужно ее числитель умножить на это число, а знаменатель оставить без изменения.
Чтобы вычисления были проще, не надо перемножать сразу, лучше сделать это после сокращения.
Сократить дробь - значит, разделить ее числитель и знаменатель на одно и то же число (наибольший общий делитель).
Если при вычислениях получается неправильная дробь (числитель больше знаменателя), то ее преобразуем в смешанное число. Чтобы неправильную дробь, числитель которой нацело не делится на знаменатель, преобразовать в смешанное число, надо числитель разделить на знаменатель; полученное неполное частное записать как целую часть смешанного числа, а остаток - как числитель его дробной части.
Вернуться к содержанию учебника